How Common Bean Leaves Cope with Moderate Drought
Drought stress is a major constraint on crop productivity, but how plants spatially regulate their physiological responses to water deficit remains poorly understood. While it’s often assumed that drought increases heterogeneity in leaf function, leading to “patchy” stomatal closure and photosynthetic activity—this study challenges that assumption. Using imaging-based phenotyping, the authors reveal that moderate drought in common bean (Phaseolus vulgaris) does not intensify within-leaf heterogeneity. Instead, it promotes a spatially coherent down-regulation of photosynthesis, photochemistry, and optical properties, maintaining functional integrity despite reduced assimilation.

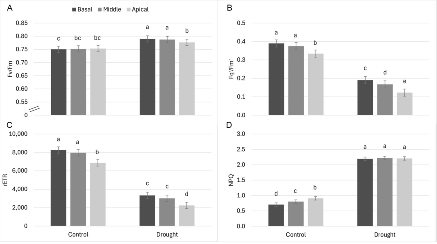
This study combined gas exchange measurements, chlorophyll fluorescence imaging, and multispectral imaging to analyze the spatial variability of physiological and optical traits in common bean leaves under well-watered (control) and moderate drought conditions. It focused on three leaf positions—basal, middle, and apical—to assess how drought influences spatial patterns.
Under control conditions, common bean leaves exhibited subtle spatial gradients: lower photosynthetic activity, photochemical efficiency, and pigment-related indices at the apical region compared to basal and middle segments. However, drought reduced the magnitude of these traits—net photosynthesis, stomatal conductance, and electron transport rate all declined—but did not amplify positional differences. Instead, drought diminished spatial variability, leading to a more uniform down-regulation of leaf function.
Drought reduced stomatal size and increased stomatal density, but these changes were uniform across the leaf. Leaf relative water content (RWC) declined under drought but remained spatially consistent, indicating coordinated hydraulic responses. This suggests that common bean maintains synchronized stomatal regulation even under stress, preventing patchy closure.
Under well-watered conditions, PLSR models strongly predicted stomatal conductance using imaging-derived traits (e.g., Fq'/Fm', rETR, NDVI). However, under drought, predictive power collapsed, likely because stomatal conductance was uniformly low, and imaging traits primarily reflected photoprotective adjustments rather than dynamic stomatal behavior.
Drought increased non-photochemical quenching (NPQ) and altered reflectance in blue, red, and near-infrared wavelengths, indicating pigment and structural adjustments. Yet, these changes were spatially uniform, further supporting the idea of coordinated acclimation rather than patchy stress responses.

The study suggests that spatial coherence in leaf responses to drought may be an adaptive mechanism, preserving hydraulic and photosynthetic integrity. This challenges the traditional view of drought-induced patchiness and highlights the need to account for spatial stability in phenotyping studies.
As climate change intensifies, understanding the hidden rules of spatial stability will be key to building resilience. The future of stress physiology lies not just in measuring what plants lose under adversity, but in uncovering how they reorganize to endure it. This work is a call to look closer, measure smarter, and rethink how we define, and harness, plant adaptability in the face of environmental challenge.
For further details, we encourage readers to explore the original publication:
Lazarević, B., et al. (2026). Monitoring weed mechanical and chemical damage stress based on chlorophyll fluorescence imaging. BMC Plant Biology. DOI doi.org/10.1186/s12870-026-08233-2


